特朗普家族下场,WLFI与CEX-DEX融合的权力游戏
行业概述
2025年初,加密货币市场在乐观与不确定性交织的复杂情绪中拉开帷幕。行业曾对新年抱以多重期许:美联储货币政策转向的潜在红利、AI技术革命的二次爆发、以及美国新一届政府承诺的"加密友好"监管框架,均被视为推动行业突破的催化剂。然而,当第一季度尘埃落定,市场呈现的却是"宏观叙事强震荡、微观创新深蛰伏"的鲜明图景。
全球宏观经济成为主导市场节奏的核心变量,美联储在通胀反复与衰退风险间艰难权衡,3月意外炒作的衰退降息预期虽短暂提振风险偏好,却未能抵消美股估值泡沫破裂引发的流动性恐慌;而特朗普政府兑现竞选承诺,推动了比特币国家战略储备和数字资产战略储备、以及落实《数字资产监管明确法案》,为行业释放结构性利好,但政策红利与SEC执法宽松的并行,亦加剧市场对"合规化转型成本"的争议。比特币在1月再次突破10万美元历史高位后遭遇30%深度回调,暴露市场资金对"减半叙事"的阶段性获利了结;山寨币市场整体表现平淡,但RWA和用户入口等资金和用户增量的产品诞生和交付,仍为行业注入底层创新动能。值得关注的是,Binance等CEX加速布局DEX生态,通过链上流动性聚合与账户抽象技术,推动用户无缝接入DeFi等dApps场景,并且首次允许CEX用户直接在账户内交易买卖DEX资产,这一"中心化与去中心化融合"的范式迁移,或将成为下一周期增长和破局的关键支点。
宏观经济环境及影响
2025年第一季度,美国宏观经济环境对加密货币市场产生了深远而复杂的影响。对于加密货币市场而言,从ETF通过BTC现货开始,整个加密市场与美股的正相关性愈发增强,纳指的走势在一定程度上直接决定了加密货币市场的走向。虽然早年BTC被冠以“数字黄金”的称号,但加密货币目前更偏向于风险资产,而非避险资产,受到市场流动性的影响更大,ArkStream未来也将持续关注宏观经济的趋势变化。宏观经济的核心在于通胀与经济强弱之间的平衡,市场交易的是对未来的预期:如果通胀过高或经济过于强劲,美联储将倾向于推迟降息,这对资本市场不利;反之,如果经济表现过于弱势,则可能引发衰退风险,同样不利于市场信心和资本流动。因此,宏观经济需要在强势与弱势之间找到一个微妙的平衡点,才能为资本市场提供有利的环境。DOGE部门大量裁撤政府机构工作人员,直接造成了失业率的上升。与此同时,特朗普的关税政策通过直接推高受影响商品的价格以及相关服务行业的成本,加剧了通胀压力,并使得美国经济产生衰退的可能。
这一系列的政策使得市场不稳定因素增加,导致资本市场波动性增大。考虑到2024Q4季度大选行情带来的高额涨幅和短期内市场潜在巨大波动造成的回撤风险,ArkStream Capital在2025Q1季度收缩了投资计划,把更多的时间精力放在了OTC策略的业务探索和渠道拓展上。然而,考虑到此类政策可能并非单纯的经济调控手段,而是特朗普政府旨在增加与其他国家政治谈判的筹码,亦或者刻意制造混乱以达成特殊的政治经济目的,即通过制造经济衰退的迹象来倒逼美联储快速进行紧急防御性降息,从而在缓解美国国家债务问题和刺激经济增长和资本市场表现取得双赢,我们仍然看好后续加密货币市场的表现。
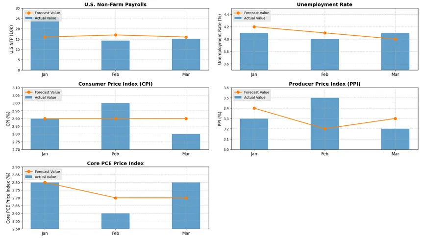
在第一季度,加密货币市场对宏观经济数据的反应体现出高度的敏感性。以下是对1月、2月和3月市场表现的逐月分析。

1月份,美国宏观经济数据整体强劲,但市场反应相对平稳。1月10日,12月季调后非农就业人口数据公布,预期值为16万,实际值为25.6万,大幅超出市场预测;同日公布的12月失业率为4.1%,低于预期的4.2%,进一步印证了经济的强劲表现。1月14日,12月PPI年率公布为3.3%,略低于预期的3.4%,被视为短期内通胀压力有所缓解的信号。然而,1月15日公布的12月未季调CPI年率为2.9%,符合预期,但较上月增长0.2%,开始引发市场对通胀抬头和降息延迟的担忧。1月31日,12月核心PCE数据为2.8%,符合预期,未对市场预期产生显著扰动。整体来看,1月份的数据未能对加密货币市场造成明显波动,就业市场的强劲和通胀数据的平稳使得BTC等资产价格保持相对稳定。
进入2月份,加密货币市场因宏观经济数据与预期之间的偏差而出现剧烈波动。2月7日,1月季调后非农就业人口数据公布为14.3万,低于预期的17万;同日公布的1月失业率为4.0%,低于预期的4.1%,就业市场表现不明朗,短期内加剧了市场的不确定性。2月12日,1月未季调CPI年率公布为3.0%,高于预期的2.9%,通胀持续上行且超出预期,导致市场对降息的信心降至冰点。交易员普遍押注年内降息可能仅在12月发生一次,这对市场情绪造成巨大打击,BTC在数据公布后15分钟内下跌2500点,跌幅达2.66%。次日,1月PPI年率公布为3.5%,高于预期的3.2%,进一步加剧了市场对降息预期下调的担忧。这被视为买盘力量减弱的导火索,随后的半个月内,BTC下跌约20%,跌幅达到20000点。直到2月28日,1月核心PCE物价指数公布为2.6%,低于预期,市场才得以企稳并形成底部。值得注意的是,PPI数据中金融和医疗服务部分的疲软表现已为PCE的回落提供了前期信号。
3月份,宏观经济数据整体改善,市场情绪有所回暖,但核心PCE的超预期表现再次引发波动。3月7日,2月季调后非农就业人口数据公布为15.1万,略低于预期的16万;同日公布的2月失业率为4.1%,高于预期的4.0%,显示就业市场略有疲软。3月12日,2月未季调CPI年率公布为2.8%,低于预期的2.9%;3月13日,2月PPI年率公布为3.2%,略低于预期的3.3%。这一系列数据表明经济在稳健的基础上运行,通胀压力有所缓解,降息进程有望加速。受此影响,加密货币市场在随后的10天内出现了一波短暂反弹。然而,3月28日公布的2月PCE物价指数年率为2.5%,符合预期,但核心PCE年率为2.8%,高于预期的2.7%。在数据公布前10小时,市场因对核心PCE超预期的担忧而出现明显下跌,显示出对通胀数据的持续敏感性。
综上所述,2025年第一季度,美国宏观经济数据对加密货币市场的影响显著且多变。1月份经济强劲但市场反应平淡,2月份通胀超预期导致降息预期骤降,BTC大幅下跌,3月份经济数据改善带动短暂反弹,但核心PCE超预期再次引发回落。特朗普的关税政策通过加剧通胀压力,增加了市场的不确定性,可能成为倒逼美联储调整政策的重要因素。展望未来,加密货币市场的走势仍将高度依赖宏观经济数据和美联储的政策动向,投资者需密切关注通胀和就业数据的动态,以准确把握市场趋势。
特朗普政府的加密货币政策及影响
特朗普于2025年3月签署行政命令,要求建立战略比特币储备,资金主要来自刑事或民事罚没的约20万枚比特币(价值约180亿美元),并禁止政府出售储备中的比特币。此举旨在将比特币提升为“主权储备资产”,增强其合法性和流动性,同时推动美国在数字资产领域的领导地位。虽然在短期内比特币价格飙升超8%,市场信心增强,但随后市场认为储备仅依赖罚没资产且无新增购买计划,价格迅速回落。长期来看,此举可能引发其他国家效仿,推动比特币成为国际储备资产。另外,一系列非比特币数字资产同样有纳入数字资产储备库的可能性。如此一来,标志着加密货币从边缘化资产向国家战略工具的转型。尽管短期内市场反应受挫,但其长期影响可能重塑全球金融体系:一方面推动比特币成为主流储备资产,另一方面加剧主权国家在数字金融领域的竞争。
在监管方面,特朗普上任后推动解雇SEC主席Gary Gensler,并成立加密资产工作组,明确证券与非证券类代币的划分标准,终止对Coinbase等企业的诉讼。此外,废除了争议性的会计准则SAB 121,减轻企业财务负担。监管环境显著宽松,机构投资者加速入场;传统金融机构如银行获准开展加密托管业务,推动行业合规化进程。这一系列的监管政策通过松绑规则、重构框架与推动立法,改变了美国加密与金融行业的生态。短期看,政策红利可能加速技术创新与资本流入;但长期需警惕系统性风险与全球监管博弈的复杂性。未来,政策落地效果将取决于司法挑战、经济周期及政治博弈的多重变量。
在稳定币发展方面,特朗普政府为稳定币建立联邦监管框架,允许稳定币发行机构接入美联储支付系统,并明确禁止美联储发行央行数字货币(CBDC),以维护私人加密货币的创新空间。稳定币在跨境支付中的应用加速,美元国际化路径拓展;私人稳定币市场份额扩大,与传统金融体系融合加深。
在关税政策方面,2025年2月,特朗普签署了《互惠贸易和关税备忘录》,要求美国各贸易伙伴的关税税率与美国一致,并对实行增值税制度的国家加征关税。这一备忘录是美国贸易政策调整的框架性文件,旨在减少美国的贸易逆差,解决贸易不平等和不平衡问题。随后,加拿大、墨西哥、欧盟等迅速采取反制措施,导致全球关税壁垒首次出现螺旋式上升。2025年4月2日,特朗普签署了对等关税的行政命令,进一步细化和落实2月备忘录中的政策方向。该命令以减少美国的贸易逆差、促进制造业回流、保护美国的经济和国家安全为目的,要求对与美国贸易逆差最大的国家征收更高的对等关税。这一举措引发了主要受影响国家的迅速反制,特别是中国第一时间采取了相应的反制措施,导致双方的经济贸易关系正式进入严重分歧和摩擦阶段。
在这样的关税政策影响下,全球贸易成本必然增加,国际贸易规模可能缩减。生产成本大幅上升,供应链重构加速,企业投资意愿下降。最关键的是,美国将不得不面临输入性通胀的压力。美联储的货币政策陷入两难境地,降息预期被推迟。关税政策还迫使企业将生产转移至墨西哥等拉美国家,但美国本土的基础设施和劳动力短缺问题阻碍了制造业的回流。汽车、电子产品等依赖全球供应链的行业受到重创,跨国公司盈利压力增大,美股科技巨头股价出现回调。新兴市场在承接产业链转移方面面临挑战,短期内难以完全弥补美国的需求缺口。关税战还削弱了美元作为国际贸易结算货币的信任度,导致十年期国债价格下滑,相应收益率上升。这背后也有特朗普政府计划降低债务支出和借贷成本的考量,部分国家因此开始探索去美元化的路径。金融市场方面,全球金融市场,包括美股、A股、日经等普遍大幅下跌,市场流动性面临巨大压力。

特朗普的加密货币政策通过监管松绑和战略储备,短期内提振了市场信心并吸引资本流入,但长期需警惕算力集中化与政策反复风险。而关税政策虽以“美国优先”为名,却导致全球贸易体系碎片化,推高通胀并加剧经济衰退预期,迫使资金从风险资产流向黄金等避险资产。这两大政策共同凸显了美国在数字经济与实体经济转型中的矛盾与博弈。
特朗普家族支持的DeFi项目World Liberty Financial(WLFI)自2024年推出以来,凭借其政治背景和资本运作,对加密货币行业产生了多维度影响。WLFI被视为特朗普政府加密友好政策的“风向标”,其资产配置和战略合作被市场解读为“总统精选组合”,吸引投资者跟风布局,短期可能加剧市场对“政治叙事”的依赖,推动特定代币的价格波动,长期需警惕政策反复性风险。同时,WLFI于2025年3月推出的美元稳定币USD1,强调合规性和机构级托管,若成功渗透跨境支付和DeFi场景,可能削弱现有稳定币的市场份额,同时推动美元数字化进程,巩固美国在全球金融体系中的主导地位。
此外,WLFI的运作受益于特朗普政府的政策调整,为类似项目提供了合规模板,降低行业合规门槛,吸引传统金融机构参与加密业务,但可能因监管套利导致市场泡沫。
在长期战略价值方面,WLFI重仓各种加密货币,例如BTC、ETH、AAVE、ONDO和ENA等,由此与特朗普政府推动的“战略加密储备”政策形成呼应,这种布局可能引导更多资本关注加密货币资产,从而推动数字资产储备成为下一周期核心叙事。同时,WLFI的运作模式为其他项目提供了“政商联动”的参考案例,未来可能出现更多依托政治势力的加密项目,但需平衡合规性与去中心化原则。

综上所述,WLFI对加密货币行业的影响具有双刃剑效应,一方面通过政治赋能加速合规化进程,推动DeFi与机构资本融合,并探索美元稳定币的全球化应用;另一方面,依赖政策红利可能导致市场泡沫,利益分配不透明可能引发信任危机,项目执行不力或成行业负面案例。未来需重点关注WLFI的产品落地进展、USD1的市场接受度,以及特朗普政府政策连贯性对其的支撑作用。
CEX和DEX的连通融合
交易所 和 Web3 钱包作为进入加密世界的重要流量入口,用户常在主流交易所先使用法币完成资产充值,并进行加密货币的交易、借贷、理财等金融活动,或借助各公链的 Web3 钱包与各类 dApps 交互。过去,二者界限分明。因 Web3 钱包使用门槛与教育成本较高,普通用户多从交易所开启 Web3 之旅,且中心化交易所则通过比去中心化 dApps 更成熟更流通的服务来留存用户。尤其进入 2025 年,交易所业务相较上一周期更加成熟,如币安在 2024 年宣布用户数达 2 亿,相比于上个周期,增加了一倍。反观 Web3 原生 On Chain 用户,受多种因素限制,链上日活仅为中心化交易所的约 10%。
自 2023 年起,交易所凭借自身交易所钱包资产管理的积累和沉淀,进军 Web3 Wallet 产品市场。其中,OKX Wallet 在产品层面吸引众多用户,凭借卓越的产品体验,如资产管理、链上交互和交易优化等方面的表现,成功笼络大量用户。CEX 利用自身在交易所 Wallet 模块的优势,比如自建不同公链 RPC 等,打造更为完善和优秀的钱包产品,实现了对用户的吸引和留存。然而,OKX Wallet 本质上与传统 Web3 Wallet 并无显著差异,仅是一个更优质、更便捷的多链 Wallet,并没有打破原生Web3 Wallet的使用门槛。
Binance Web3 Wallet与交易所账户紧密绑定,初期便支持站内资产与 Web3 钱包之间的快速接收和发送,降低用户使用 Web3 钱包时的安全顾虑,从交易所层面提供保障。同时,Binance Web3 联合生态内主流 DEX 推出多期面向普通用户的 IDO,吸引更多站内用户参与并学习链上知识。此外,其最新钱包功能允许站内用户直接购买 Alpha 系列链上资产,实现从 CEX 内部直接购买链上资产的功能,彻底打破 CEX 与 DEX 之间的传统边界。

数据来源:Dune,https://dune.com/lz_web3/wallet-war
与主流 CEX 主导的 Web3 Wallet 不同,原生加密项目方在 Wallet 领域能够专注于链上用户实际且紧迫的需求。Particle Network 凭借其在 MPC 和账户抽象技术方面的多年积累,抓住多链交易催生的统一账户需求,推出了 UniversalX 。该产品融合了钱包和交易平台,切实解决了不同链资产转移和交易的难题,帮助用户在多链环境中实现资产的便捷管理和高效交易。凭借这一创新产品,Particle Network 获得了市场的良好口碑和广泛认可。

数据来源:Dune
CEX与DEX的融合不仅是技术层面的创新,更是加密货币市场从“对立割裂”走向“协同共生”的里程碑。这种变革在提升效率和包容性的同时,也催生了监管、安全和治理的新挑战。未来,谁能更好地平衡中心化效率与去中心化的资产安全性和自主性,谁就能主导下一代金融基础设施的演进方向。
- 免责声明
- 世链财经作为开放的信息发布平台,所有资讯仅代表作者个人观点,与世链财经无关。如文章、图片、音频或视频出现侵权、违规及其他不当言论,请提供相关材料,发送到:2785592653@qq.com。
- 风险提示:本站所提供的资讯不代表任何投资暗示。投资有风险,入市须谨慎。
- 世链粉丝群:提供最新热点新闻,空投糖果、红包等福利,微信:juu3644。

ArkStream Capital



