加密市场全面走低,通缩叙事如何提升代币价值?
在高波动的市场环境下,代币经济学的价值逐渐开始显现。
撰文:0xResearcher
前几日,白宫首届加密峰会落下帷幕,而它带来的影响才刚刚开始......
BTC 价格应声跌破 8 万美元。加密市场面临自 LUNA 崩盘以来的最大规模清算。投资者对风险的敏感度显著提升,资金加速流向具备抗跌属性的项目。与此同时,投资者对代币经济模型的审视愈加严格,一个关键问题浮现:是否存在一种能够抵御市场波动、穿越牛熊周期的代币模型?

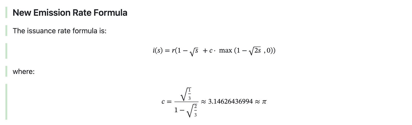
来源:Bravos Research
通胀的诱惑与代价
大多数代币选择通胀模型并非偶然。通过增发,奖励开发者、社区和早期投资者,从而快速启动生态。然而,当市场情绪低迷时,流通量的膨胀叠加需求萎缩,容易导致价格进入下行螺旋。以太坊是一个典型的例子。其早期设计中未设定总供应量,导致长期通胀问题,引发用户的焦虑。直到 EIP-1559 提案引入销毁机制后,才有效缓解了抛压,这一机制对以太坊的经济模型及其市场表现产生了深远的影响。
但问题在于:如果通胀是启动生态的燃料,通缩能否成为对抗周期的刹车?
通缩的稀缺性逻辑
与以太坊的挣扎形成鲜明对比的是比特币的四年减半周期。每次减半后,新币产出速度减半,稀缺性推动价格进入上升通道——这一机制让比特币历经多次熊市仍保持通缩属性,成为加密市场唯一跨越周期的「数字黄金」。
这一逻辑正在被更多项目借鉴。例如本轮周期大热的 Solana 生态,代币 SOL 开启的 SIMD-0228 提案投票,正是试图通过动态调整通胀率来平衡生态激励与价值存储。该提案由 Multicoin Capital 的 Tushar Jain 等人提出,核心机制是:当 SOL 质押率超过 50% 时减少发行量以抑制通胀,低于 50% 时则增加发行以激励质押。这种「弹性通胀」设计揭示了一个关键原则——通缩不是对通胀的全盘否定,而是与之动态博弈的制衡工具。

来源:SIMD-0228 提案
即使市场低迷时期,许多项目的代币持有者数量不减反增,也许这就是通缩代币模型在面对下行行情时最有效的证明。

通缩机制的三重价值
在当前的逆周期环境中,通缩机制的价值愈发凸显,其突破口在于三个层面:
- 首先,稀缺性溢价。当流通量增速低于需求增速时,代币价值自然上升。
- 其次,抗通胀属性。在法币超发与监管冲击下,通缩代币成为资金避风港。
- 最后,社区共识强化。面向社区的透明销毁行为,传递出项目方长期承诺,吸引价值投资者而非短期投机者。
但要实现这些价值,需要具体的工具支撑。当前主流通缩机制包括:
- 代币销毁:是将部分流通代币转入黑洞地址,比如 BONK 的链上每日销毁。
- 质押锁仓:通过收益激励长期持有,比如 Solana 的质押率动态调整机制 SIMD-0228 提案。
- 生态消耗:是将代币作为 Gas 费或抵押品,形成使用即销毁的正循环。
通缩设计的微观样本
$BONK 在这次震荡中币价 保持相对稳定,笔者研究发现其具备多层次通缩模型。该模型的核心是链上透明的销毁机制,包括生态交互自动销毁,事件驱动的大规模销毁,在整个震荡的市场中持续减少自身流通量,实现通缩经济。一定程度上实现了「跟涨不跟跌」
每日销毁机制接入了 Bonk 的所有生态应用,销毁量持续增加。此外,BONK 社区还会定期发起事件驱动的大规模销毁活动,例如去年 12 月圣诞节的「BURNmas」计划,销毁 1.69 万亿枚 BONK(约合 5452 万美元),占 BONK 总供应量(约 92.7 万亿枚)的近 1.8%;今年 2 月,再次销毁 2.025 万亿枚 BONK(约合 3695.6 万美元)。这些销毁措施不仅增强了投资者信心,也通过减少抛压为价格提供了支撑。

来源:Solscan
这些措施产生了三重效应:
首先是稀缺性重构。随着流通中的 Token 供应量减少,对其价值的认知增加,这可能会对代币的价格产生上行压力。
其次是建立社区信任:销毁代币也向社区发出积极信号。它表明项目治理致力于代币的长期增长和可持续性,让社区看到「真金白银」的承诺。
第三是指数增长的可能性:由于持续销毁带来的价格低迷,使 Token 有更大的增长空间。对于寻求高风险投资但具有高回报潜力的交易者来说,这是一个有吸引力的点。

在高波动的市场环境下,代币经济学的价值逐渐开始显现,它不再是白皮书里的抽象公式,而是决定项目生死的生存技能。用销毁对抗通胀,SOL 借 SIMD 提案平衡质押与稀缺性时,我们看到通缩机制正从可选策略变为生存刚需。在加密市场的一些时刻,代币经济模型的设计比营销叙事更能决定生死。
- 免责声明
- 世链财经作为开放的信息发布平台,所有资讯仅代表作者个人观点,与世链财经无关。如文章、图片、音频或视频出现侵权、违规及其他不当言论,请提供相关材料,发送到:2785592653@qq.com。
- 风险提示:本站所提供的资讯不代表任何投资暗示。投资有风险,入市须谨慎。
- 世链粉丝群:提供最新热点新闻,空投糖果、红包等福利,微信:juu3644。

0xeebc53f729bc4c3306a6b8fdf5eb5daacfcc53cc



