需求理论:Web3集成分析

对于每一个经济发展一部分,都是有从微观到观行的方式衔接。这就意味着每一项经济行为都要从对实行微观一部分的解读逐渐。若想极致可能利率,那就需要对费率工作进行微观融合,这就使得需求和提供在每一个经济市场里都是在所难免的,他们取决于产业结构的方式。
需求
需求是在一定阶段得到资产的冲动。大家都知道,需求基本定律觉得,“需求越大,价钱越大”,与此同时,“价钱越小,需求量越大”,相反也是。但是,索要资产的结果就是为获得满足,即得到效用。因而,需求现代逻辑最底层是效用。
效用函数公式
这是一个表明2个资产($ETH & $BTC)或(DeFi和NFT)之间的关系的函数公式。在实物产品层面,大家用q1和q2表明,因而U= f(q1, q2)。这一函数的基本假设是,它是一个凸函数,换句话说,在此期间很有可能拥有更多的别的资产推动你兴趣爱好。但是,针对效用函数公式有一些一般的假定。它们都是:
- 完好性:Web3爱好者对选择正规直接地喜好。他要不只想要呆在NFT行业,要不只想要呆在DeFi行业。虽然在这种领域里可能出现别的挑选,但是对于顾客想要实现目标的一致性的相信是达到假定的。主要是因为喜好是能够排列的。针对二种产品,他要不更爱 NFT 而非 DeFi(NFT > DeFi),要不更爱 DeFi 而非 NFT(DeFi > NFT),或更准确的说应该是三者都不闻不问(DeFi ~ NFT),这就意味着她在2个行业都能保持流通性。
- 传递性:这一假定根据清除偏好的一致性来支撑完好性的假定。给出三(3)种喜好,DeFi, CeFi和NFT,或$ETH, $Sol和$Metis,假如他更爱DeFi而非CeFi,他更爱CeFi而非NFT,假定代表着他肯定更爱DeFi而非NFT。
- 客观:每一个经济主体喜欢多且不喜爱少,因而,产生了一种乏味的喜好。实质上,当需要买资产或产品时,每个人都深度思考,你能选购大量能够给你最大效用的资产。
- 持续性:这一假定融合了完好性和传递性。他知道自己要什么,并且他的想法始终如一。
效用基础理论含有无差异曲线和没有区别图。无差异曲线表明二种产品的组成获得同样水平的满意率,而没有区别图表明各种各样产品造成不同类型的效用。

简单来说,无差异曲线显示消费者对于两个不同资产或产品漠不关心的水平。这就意味着他肯定会依据满意率在所有的时间段用一种资产更换另一种资产,这杯称之为“产品替代率”,这也是没有区别供求曲线。但是,想要实现ROCS,顾客那就需要得到2个资产的附加企业来做出这种确定,这被称作资产的边界效用。因而,ROCS是两个资产的边界效用比例。你可能会买了$Sol和$ETH,可是,随着时间推移,我们将能够依据市场转变来决定替换掉哪一个。

总得来说,针对效用,更多 Solana NFT 集成化也会导致 Arbitrum NFT 模块化大幅降低,一样,更多Aptos集成化也可能导致Solana NFT模块化降低。(科布道格拉斯效用函数公式)。
一般需求函数公式(马歇尔需求)和赔偿需求函数公式(希克斯需求)
马歇尔需求函数公式
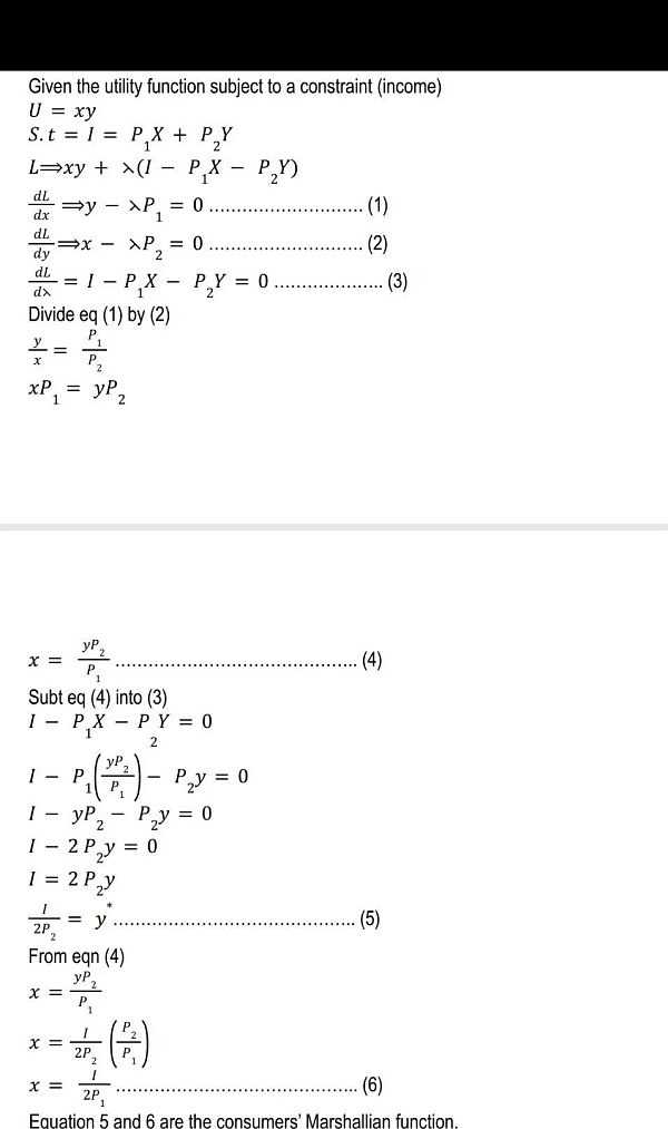
马歇尔需求函数是一个高度重视效用最大程度地需求函数公式。效用的最基本必要性取决于这是资产或产品的函数公式,而资产是收益、喜好和价钱的函数公式。因而,依据传递性假定,效用都是收益、喜好和价钱的函数公式。这就意味着,从你下手购买东西或资产以前,你能评定你喜好(这应该是没有意义的),但是你还会在选购以前考虑到资产的价钱>>你能找到一个与数据资产有关得非常好的价钱通道。全部这一切都能通过流通性(收益)完成。因而,为了能求得马歇尔需求函数公式,大家设立了目标函数和约束,随后运用拉格朗日乘子求得偏导数,求得出资产其价值,如图所示:

在过程的最终,大家解出来效用,称之为“间接性效用函数公式”。主要是因为马歇尔把效用看得比收益关键。
一般需求函数的性质
- 收入增长函数公式:这就意味着需求也会随着收入增加而升高。更加好的解释就是,在ETH市场里,有多少人想要选购$ETH,提升了对$ETH的整体需求。但是,就个人而言,我对ETH的需求水准是来自于你的收入水准。一个有着5000美金的人都可以选购使用价值1500美金的ETH,期待得到450美金的30%收益。但是,有着150美金的人可获得45美金其实就是30%的盈利,这是截然不同的需求水准。因而,“收益越大,对某类资产的需求也就越高”。
- 价钱下降函数公式:需求受价钱负性危害。假如你方案以1250美金的价钱买进ETH,如果你醒来,已经涨到1700美金,你购买欲就消失了。换句话说,价钱越大,需求量越小。
- 收入和价钱的同质性度为零:这就意味着收入和总需求以相对稳定的速率提高,这会对需求水准没影响。假如ETH的价是2000美金,而你的收入是500美金,你用了200美元购买ETH,预估很快就会有20%-30%的盈利。一个月后,从工作上,你的收入增强了10%,ETH也提高了10%,你的收入目前是550美金,ETH目前是2200美金,你肯定不会需要更多以太币,换句话说,你可能会依然用200元或250美元购买。因而,你的收入并没刺激性对资产更深层次的需求。
希克斯需求函数公式
希克斯需求函数公式在另一个水平上和马歇尔需求函数公式反过来。这就意味着希克斯需求函数公式将费用预算(收益)与效用之间的关系降到最低。我就用一个简单的专业术语,假如你有1000美金的费用预算来提高资产,希克斯函数公式对你说怎么管理费用预算并实现效用更大化。马歇尔需求使效用更大化,且不考虑到收益。应用同样的拉格朗日,大家在下面的图表格中展现了一个事例;

希克斯需求函数公式与价钱有很大关系,由于我们将要价格与收益挂勾。价钱越大,该商品收入和需求就会越低,相反也是。
这些都是需求现代逻辑基本函数。我们并没有详说,但愿你能从表述中获取使用价值。
Source:https://medium.com/@RubiksWeb3/theory-of-demand-web-3-integration-analysis-a1a9df5f3531
来源:Xiaoz
- 免责声明
- 世链财经作为开放的信息发布平台,所有资讯仅代表作者个人观点,与世链财经无关。如文章、图片、音频或视频出现侵权、违规及其他不当言论,请提供相关材料,发送到:2785592653@qq.com。
- 风险提示:本站所提供的资讯不代表任何投资暗示。投资有风险,入市须谨慎。
- 世链粉丝群:提供最新热点新闻,空投糖果、红包等福利,微信:juu3644。

Xiaoz



